重鉻酸鉀法測定COD(本方法適用于COD濃度范圍在50—500mg/l的水
樣)
一、重鉻酸鉀法測定(CODCr)的原理
在強酸性溶液中,準確加入過量的重鉻酸鉀標準溶液,加熱回流,將水樣中還原性物質(主要是有機物)氧化,過量的重鉻酸鉀以試亞鐵靈作指示劑,用硫酸亞鐵銨標準溶液回滴,根據所消耗的重鉻酸鉀標準溶液量計算水樣化學需氧量。 二、儀器
1.500ml全玻璃回流裝置; 2.加熱裝置(電爐);
3.25ml 或50ml酸式滴定管、錐形瓶、移液管、容量瓶等。 三、試劑
1、重鉻酸鉀標準溶液(K2Cr2O7):
稱取預先在120℃烘干2h 的基準或優(yōu)質純重鉻酸鉀12.258g 溶于水中,移入1000ml 容量瓶,稀釋**標準線,搖勻。 2.試亞鐵靈指示液:
稱取1.485g 鄰菲啰啉(C12H8N2•H2O)、0.695g 硫酸亞鐵(FeSO4•7H2O)溶于水中,稀釋**100ml,儲于棕色瓶內。 3.硫酸亞鐵銨標準溶液 ((NH4)2 Fe(SO4)2•6H2O):稱取39.5g 硫酸亞鐵銨溶于水中,邊攪拌邊緩慢加入20ml 濃硫酸,冷卻后移入1000ml 容量瓶中,加水稀釋**標線,搖勻。臨用前,用重鉻酸鉀標準溶液標定。 標定方法:
準確吸取10.00ml 重鉻酸鉀標準溶液于500ml 錐形瓶中,加水稀釋**110ml 左右,緩慢加入30ml 濃硫酸,混勻。冷卻后,加入3滴試亞鐵靈指示液(約0.15ml),用硫酸亞鐵銨溶液滴定,溶液的顏色由黃色經藍綠色**紅褐色即為終點。
C=0.2500×10.00/V
式中:C-----硫酸亞鐵銨標準溶液的濃度(mol/L); V-----硫酸亞鐵銨標準溶液的用量(ml)。 4.硫酸-硫酸銀溶液:
于500ml 濃硫酸中加入5g 硫酸銀。放置1-2d,不時搖動使其溶解。 5.硫酸汞:結晶或粉末。 四、測定步驟
1.移液管移水樣5.00mL于消解罐中,加入5.00mL消解液(重鉻酸鉀),即時搖勻,再加入5.00mL催化劑(硫酸-硫酸銀溶液),搖勻。 2.另做一空白樣,加5.00mL蒸餾水,其他照加。
3.放入微波爐消解 3罐——5min 4罐——6min 5罐——7min
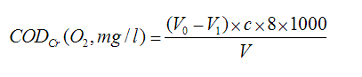
4.消解液倒入錐形瓶中,沖洗消解罐3次,加2滴指示劑,用硫酸亞鐵銨回滴,顏色由黃經藍綠**紅褐色,即為終點。 5.標定硫酸亞鐵銨溶液。 五、計算

式中,c——硫酸亞鐵銨溶液濃度,mol/l; V0——滴定空白樣量,ml; V1——滴定水樣量,ml; V——水樣體積,5ml。
高錳酸鉀法測定COD
一、實驗原理
高錳酸鉀指數在一定條件下,以高錳酸鉀為氧化劑,處理水樣時所消耗的氧量,以氧的mg/l來表示。水中部分有機物及還原性無機物均可消耗高錳酸鉀。因此,高錳酸鉀指數常作為水體受有機物污染程度的綜合指標。 水樣加入硫酸使之呈酸性后,加入一定量的高錳酸鉀溶液,并在沸水浴中加熱反應一定時間。剩余的高錳酸鉀加入過量草酸鈉溶液還原,再用高錳酸鉀溶液回滴過量的草酸鈉,通過計算求出高錳酸鹽指數。 二、儀器 1.水浴裝置 2.250ml錐形瓶 3.50ml酸式滴定管 三、試劑